您的位置: 首页 > 技术支持

一文读懂常规PCR?多重PCR?多重qPCR?“全家桶”大合集来袭(技术支持必备)

日期:2025-02-13 点击量:

  多重qPCR的实验设计要求比单一反应体系复杂得多。用于检测不同目标的探针必须携带具有不同光谱范围的荧光基团★。下图是几种常见荧光基团的发射光谱。从图中可以看出,虽然许多荧光光谱相似的荧光基团的最大发射波长不同,但在附近的波段内,它们仍然会相互重叠。有必要避免荧光基团的发射光谱之间的相互干扰。

  多重PCR?多重qPCR?这两种产品有什么区别★?分别应用在什么方面呢★?这对刚了解生命科学行业领域的技术支持/销售的朋友来说是非常陌生且晦涩的,这两个产品涉及的知识点是比较多的,它不像普通PCR产品一样,将Taq DNA聚合酶、引物★、dNTP及缓冲液“捣鼓捣鼓”一下上机扩增就行了。

  多重PCR具有许多优势,但其操作复杂度较高,对实验室环境的控制要求严格,从仪器的校准、模板的准备、PCR引物的设计到反应条件的优化★,每个环节都需要精心设计和操作★。而且,mPCR检测也可能面临假阳性或假阴性结果问题,在这方面需要仔细监测和避免。同时mPCR具有高效性★、系统性和经济简便性等特点。而且,mPCR所涵盖的范围广(基因诊断、肿瘤诊断、病原微生物检测、基因分型、连锁分析★、植物分子育种★、基因表达检测、病虫害检测以及病原污染检测等),能够同时对多个靶标进行检测,大幅提升检测效率的同时,还降低了检测成本。

  许多研究证实★,理想的内参基因并不存在,不同的处理因素以及不同组织中内参基因表达的稳定性是不一致的。因此★,在进行内参基因选择时,应根据不同实验条件进行仔细的分析和确证,从而选择合适的内参基因。对于目标基因表达水平要求精确时,传统的单一内参基因存在一定的局限,建议使用两个或多个基因作为内参★。

  (九)肽核酸探针★:是一种人工合成的DNA类似物★,结构上保留了DNA的碱基和脱氧核糖,只是原本的核糖-磷酸骨架被类似肽键的酰胺键骨架(图中红圈标注)取代。因此★,PNA依然遵循碱基互补配对原则★,而骨架则由原本的负电性转为近中性★,减弱了双链核酸之间的静电斥力作用,使得LNA与DNA或RNA的结合稳定性和特异性均大为提高★。而且,PNA的酰胺键骨架不易被核酸酶和蛋白酶水解,使其在体内和体外均极其稳定。

  是指在每个样品中加入的具有已知浓度的特殊RNA或DNA。外源性阳性对照通常是来自可以作为内部阳性对照(IPC)的体外成分,可区分真正的目标阴性和PCR抑制。此外,外源性对照还可均一化样品提取或逆转录中互补DNA(cDNA)合成的效率差异★。无论是否使用阳性对照,使用含有ROX染料的参比荧光对照都是十分重要的★,因为它可以对非PCR相关的荧光信号波动进行均一化。注:添加不会干扰靶序列扩增的人工合成的内参基因,只能用来监测扩增或提取等过程。

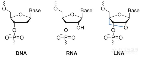
  (十)锁核酸探针★:是一类经过修饰的高亲和力RNA类似物★,其2-O和4-C位之间通过亚甲基连接,限制了呋喃核糖环的灵活性★,将其★“锁定”为刚性的双环结构★,但不影响其遵循Watson-Crick碱基配对原则,同样可与互补的DNA或RNA杂交形成双链体。

  PCR实验室中的气溶胶污染来源于两个过程:样本制备过程和PCR扩增过程★。在样本制备过程中,样本液体面与空气摩擦就可形成气溶胶,在操作时比较剧烈地摇动反应管、开盖时、吸样时及加样器的反复吸样都可能形成气溶胶而污染;PCR扩增过程可以引起实验室中扩增产物的累积,通常一次典型的PCR扩增可以产生109拷贝的靶序列,如果气溶胶化,甚至最小的气溶胶都会含有106拷贝的扩增产物★。

  值得一提的是,在不同的荧光定量PCR仪中,使用的ROX染料各不相同。ROX是一种惰性参比染料,不参与荧光定量PCR反应,荧光信号值不会随反应而改变。但是由于耗材质量、机器稳定性、照明不均匀、反应体系的浓度等原因造成每个样品孔会有微小的差异,ROX可作为阳性参比★,对荧光信号进行归一化校正★。因此,在进行荧光定量PCR前★,需要了解所用的仪器型号是否需要加入ROX进行光学校正★。

  探针是一种用于探测、测量或识别目标物质的工具或技术★。在科学研究和医学诊断中,探针通常是一种特定的分子或物质,能够与目标分子或结构特异性的结合或交互作用★。探针可以用于探测生物分子(如DNA★、RNA★、蛋白质)、细胞结构、病原体等★,从而实现对这些目标物质的检测、定量或定位。在分子生物学中,探针通常是一段特定序列的DNA或RNA分子★,用于与目标DNA或RNA序列特异性结合★,例如引物探针用于PCR反应中★。在生物成像和细胞生物学中,探针可以是荧光染料或标记物,用于标记和可视化特定细胞结构或分子★。在医学诊断中,探针可以是用于检测病原体或疾病标志物的分子探针,用于早期诊断和监测疾病的进展。

  (八)LUX探针★:是用于qPCR的标记探针★,用于与目标序列杂交并产生荧光以指示比对。它包含称为LUX™引物的环结构引物。它具有与目标互补的序列和荧光报告基因。这里报告分子发出的荧光被发夹的二级结构淬灭,因此不需要淬灭分子★。

  多重PCR(multiplex Polymerase Chain Reaction★,mPCR),又称为多重引物PCR或复合PCR,其基本原理与常规PCR相同,区别在于多重PCR反应体系加入两对或两对以上的引物,各对引物分别结合在模板相对应部位★,最终它能够在同一PCR反应管中检出多种基因,或对多个基因型目的基因进行分型★,特别适用于微量样本的多基因检测★。

  熟悉多重qPCR产品的朋友应该知道,多重qPCR实验并不是简单地将多对特异性引物混合成一个反应体系就好了。多重qPCR之所以复杂困难,在于存在多个靶点之间扩增条件不兼容,每个靶点都需要引物的配合,就好比:★“两人绑腿赛跑★”,每个靶点的成功扩增都需要被捆绑在一起的两个人(一对引物)默契配合。而多重PCR就需要多对选手同时起跑又同时到达,并且所有参赛的每对选手都有最好的★,且均衡的发挥★。

  多重PCR?多重qPCR?这两种产品有什么区别?分别应用在什么方面呢?本文对这几个问题进行了细致阐述。

  通过查阅大量资料发现,多重qPCR探针有多种类型★,如TaqMan水解探针★、分子信标探针、双重杂交探针★、小凹槽结合剂(MGB)探针、Amplifluor检测探针、蝎子探针、LUX探针和QZyme探针等★。这些探针各有优势,应用场景也各不相同★。而在市面上常见的多重qPCR检测试剂盒中,常用的多重qPCR探针为★:TaqMan水解探针和分子信标探针。下面主要针对这8种探针进行简单介绍: